next up previous
Next: MQD Algorithm Up: Basic Principles Previous: Basic Principles

Correlation Algorithm

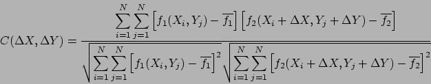
The cross-correlation algorithm for PIV is the most conventional method to estimate velocity vectors. The formula for two-dimensional cross-correlation of images $f_1$ and $f_2$ is as follow:

\begin{displaymath}
C(\Delta X, \Delta Y)
=
\frac{
\displaystyle{
\sum_{i=1...
...\Delta X, Y_j + \Delta Y) - \overline{f_2}
\right]^2
}
}
}
\end{displaymath} (1)

where $f_1$ and $f_2$ are the small windows from each image in the image pair, $N$ is the window size and the overbar denotes mean quantity. The location of the maximum value (peak) in $C$ is used as the mean particle displacement of this small area. In the program the calculated displacement is retained as `valid' only if the ratio of the values of the highest peak to the second highest peak exceeds a preset threshold value, and the ratio of the values of the highest peak to the r.m.s.(root-mean-square) noise also exceeds a preset (determine by trial and error) threshold value.




2006-12-08